반응형
SMALL

전체 글 143

[github/깃] 내 프로젝트 업로드하기

1. 깃허브에서 새로운 repository를 만든다. 2. 깃 배쉬 열기 업로드를 하고 싶은 폴더를 연다. 우클릭 -> 더 많은 옵션 표시 -> Git Bash Here git bash가 열리면 git init 명령어를 통해 .git 파일을 만든다. (해당 명령어를 실행해야 업로드가 가능하며 최초 1회만 실행하면 된다.) 3. 원격 저장소와 연결 git remote add origin [업로드 할 레퍼지토리 주소] 명령어를 통해 레퍼지토리와 연결한다. 여담으로 remote와 관련된 명령어를 소개하겠다. // 현재 연결된 원격 저장소 확인 git remote -v // 현재 연결된 원격 저장소와 연결 해제 git remote rm origin 4. branch 이동 git bash에서 현재 주소의 가장 끝..

꿀팁들 2023.05.22

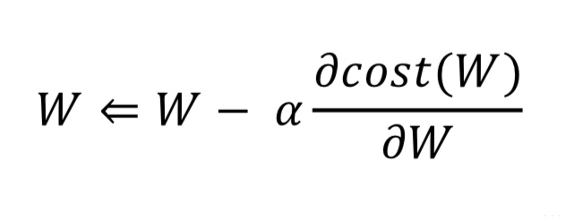
[머신러닝/ML] Learning Rate, Data Preprocessing, Overfiting

Learning Rate 우리는 Gradient Desent(경사하강법)을 통해 결과값과 기대값의 오차를 줄였다. cost function은 위와 같이 정의했었는데 이때 α를 Learining rate(학습률)이라고 하였다. 학습률은 기울기를 이동하는 step으로 α의 값을 크게 설정하면 기울기가 많이, α의 값을 작게 설정하면 기울기가 적게 내려간다고 하였다. 하지만 α값이 과하게 크다면 최소값을 지나치게 되거나, 경사가 커지는 방향으로 최적화가 될 수 있다. 이 경우를 우리는 overshooting이라고 부른다. 반대로 α값이 과하게 작다면 연산에 시간이 오래 걸리고, timeout이 발생하면 최소값에 도달하지 못할 수 있다. 그렇다면 Learning Rate를 어떻게 설정하는 것이 좋을까? 정해진 ..

[머신러닝/ML] Softmax Classification / Multinomial Classification

Softmax Classification / Multinomial Classification 앞서 우리가 학습한 Binary Classification은 0이냐 1이냐를 예측하는 문제였다. 이번 시간에 학습할 Softmax Classification은 0이나 1 뿐만 아니라, 즉 2개 이상인 결과값을 예측할 때 쓰인다. Softmax Classification을 위한 새로운 예를 가져와보겠다. 공부 시간과 출석률에 따른 성적을 예측하는 모델이다. 결과값은 A, B, C로 2개 이상이다. 이를 예측하기 위해 어떤 알고리즘을 사용하는 것이 좋을까. 앞선 시간에 학습했던 Binary Classification을 활용하여 해당 값이 A인지 아닌지, B인지 아닌지만 판별해보자. 각각을 분류할 수 있는 직선을 그어..

[머신러닝/ML] Binary Classification / Logistic Regression

Binary Classification / Logistic Regression Binary Classification은 분류하는 모델 중에서도 이름에 맞게 두 가지 종류로 분류하는 모델을 말한다. 메일이 스팸인지 아닌지, 유튜브에서 해당 영상을 사용자에게 보여줄지 말지를 결정하는 것도 Binary Classification에 해당된다. 0, 1 Encoding Binary Classification에서 분류할 때에는 0과 1을 사용하여 표기하기도 한다 예를 들어 메일을 스팸인지 아닌지를 분류할 때 스팸인 메일을 1, 아닌 메일을 0으로 표기할 수 있다. Sigmoid(Logistic Function) 공부 시간에 따른 시험 합격률을 판단할 수 있는 모델을 만들었다고 하자. 그러면 아래와 같은 점들을 찍을..

[머신러닝/ML] Multivariable Linear Regression

Multivariable Linear Regression 위 표와 같이 입력으로 여러 개의 퀴즈 점수를 넣고, final 점수를 결과값으로 출력한다. 이 경우에는 Hypothesis 식을 아래와 같이 세운다. 마찬가지로 cost function도 아래와 같이 만들어 준다. 입력이 더 많아지면 위 식과 같이 w와 x의 개수를 늘려주면 된다. Matrix 하지만 입력이 100개 또는 그보다 훨씬 많은 1000개, 10000개까지 넘어갈 수 있다. 그 경우에는 Matrix를 사용하여 간결하게 표현할 수 있다. 행렬곱의 성질을 이용하면 위와 같이 표현할 수 있다. 따라서 hypothesis식을 위와 같이 간결하게 표현할 수 있다. 위 데이터에서 하나의 행을 인스턴스라고 부른다. 각 x 인스턴스를 행렬에 넣어 계..

[머신러닝/ML]Linear Regression (선형회귀)

Linear Regression (선형회귀) supervised learning을 통해 학습 모델 중 어떠한 범위 사이의 값을 추측하는 것을 Regression이라고 한다고 하였다. x를 예측을 하기 위한 데이터, y는 그 데이터의 결과라고 하자. 위 데이터를 평면 위에 표현하면 우측과 같이 나온다. 점끼리 연결하여 선을 만들면 1, 2, 3값이 아닌 다른 데이터가 들어와도 결과값을 예측할 수 있다. 이때, 선을 만드는 것을 Linear regression이라고 한다. 이때, 그래프에 대한 식은 H(x) = Wx + b으로 일차방정식으로 나타내는 것을 기본으로 한다. W와 b값에 따라 그래프의 생김새가 변화한다. 해당 선이 적합한 모델인지를 판단하기 위해 그래프와 데이터의 거리를 선으로 그어 비교한다. ..

[머신러닝/ML]Tensor Flow의 설치 및 기본적인 Operation

Tensor Flow 구글의 오픈 소스 소프트웨어 라이브러리 data flow graph를 사용하여 numerical 계산이 가능한 라이브러리 파이썬으로 구현이 가능! data flow graph? 각 노드: operation (+, *) edge: data (= tense) edge를 통해 각 nodes로 data들이 돌아다님(flow) => 어떤 데이터를 통해 결과값을 얻을 수 있는 그래프 Tensor Flow Download 콘다를 통해 local에 환경을 설정하는 방법이 있고, 구글 코랩을 통해 환경을 설정하는 방법이 있다. Colab 나는 코랩을 통해 설정하였다. 코랩을 들어가는 링크는 아래와 같다. https://colab.research.google.com/# Google Colaborato..

[머신러닝/ML]기본적인 ML 용어 및 개념

ML이란? 일종의 소프트웨어(프로그램) -> explicit programming (개발자가 원하는 일을 수행할 수 있음) 정확하게 프로그래밍하기 어려운 프로그램이 존재 ex) 스팸 메일 거르기, 자율주행 => Authur Samuel이 컴퓨터가 학습하여 자료 또는 현상에서 학습하는 것 -> ML 탄생 개발자가 행동을 정의하지 않음 Learning Supervised Learning 정해져 있는 데이터로 학습 (labeled example) = training set 각 데이터에 label이 달려있음 - Image labeling: label이 있는 이미지를 통해 learning - Email spam filter: 스팸인지 스팸이 아닌지를 구분한 labeling이 되어있는 email 통해 learnin..

[운영체제/OS]OS(Operating System)의 정의

운영체제(OS)는 하드웨어와 소프트웨어 사이의 인터페이스로, 여러 자원을 관리합니다. 하드웨어 위에서 동작시키는 소프트웨어이며, 프로그램에 하드웨어의 기능을 제공해줍니다. 위 사진에서 회색으로 표시된 부분이 운영체제입니다. Application program이나 Utilities program은 운영체제를 통해 하드웨어의 자원에 접근할 수 있습니다. OS가 제공하는 서비스 운영체제가 제공하는 서비스는 크게 4가지가 있습니다. 1. 프로그램 실행 2. 컴퓨터 자원 접근 하드웨어의 입출력 디바이스, 하드웨어의 기타 자원 또는 데이터의 파일 등에 접근할 수 있게 도와줍니다. 3. 오류 탐지 및 응답 하드웨어의 내부와 외부의 오류를 탐지할 뿐만 아니라, 소프트웨어의 오류를 탐지합니다. 운영체제는 어플리케이션의 ..

1. Objective

Data Comunication 의사소통 시에 우리는 정보를 교환합니다. 이러한 교환 방법은 원격 또는 로컬일 수 있습니다. telecomunication이라는 용어는 원거리 통신을 의미합니다. 데이터 통신은 어떤 형태의 전송 매체를 통해 두 장치 간에 데이터를 교환하는 것입니다. Effectiveness of Data Communication Delivery: 시스템은 올바른 목적지로 데이터를 전달해야 합니다 Accuracy: 시스템은 데이터를 정확하게 전달해야 합니다. Timeliness: 시스템은 실시간으로 데이터를 전달해야 합니다. Jitter: 패킷 도착시간의 변화를 나타냅니다. 시스템은 패킷 단위로 데이터를 전송하는데, 오디오 또는 비디오를 전달할 때 일부는 30ms 지연으로 일부는 40ms ..

반응형
LIST