반응형
SMALL
Multivariable Linear Regression

위 표와 같이 입력으로 여러 개의 퀴즈 점수를 넣고, final 점수를 결과값으로 출력한다.
이 경우에는 Hypothesis 식을 아래와 같이 세운다.

마찬가지로 cost function도 아래와 같이 만들어 준다.

입력이 더 많아지면 위 식과 같이 w와 x의 개수를 늘려주면 된다.
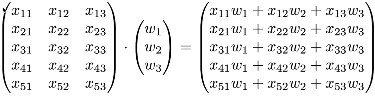
Matrix
하지만 입력이 100개 또는 그보다 훨씬 많은 1000개, 10000개까지 넘어갈 수 있다.
그 경우에는 Matrix를 사용하여 간결하게 표현할 수 있다.

행렬곱의 성질을 이용하면 위와 같이 표현할 수 있다.

따라서 hypothesis식을 위와 같이 간결하게 표현할 수 있다.

위 데이터에서 하나의 행을 인스턴스라고 부른다.
각 x 인스턴스를 행렬에 넣어 계산을 하면 되는데,
인스턴스의 개수가 어마어마하게 많아져 버리면
각각의 인스턴스를 행렬에 하나하나 넣어줘야 하는 일이 발생한다.
하지만 이때, 행렬을 사용하는 이점이 나타난다.

X 행렬을 인스턴스의 개수만큼 만들면 일일히 대입할 필요없이 바로 행렬곱으로 계산할 수 있으며,
W 행렬의 모습에는 변화가 없다.
행렬의 개념이지만,
행렬의 곱이 이뤄지기 위해서 matrix는 (M, N) * (N, K)여야 하고 각 N값은 동일한 값이다.
(M, N) * (N, K)의 행렬곱의 결과값은 항상 (M, K)로 나타난다.
이 사실을 바탕으로 우리는 W 행렬의 N, K 값을 유추할 수 있다.
반응형
LIST
'Computer Science > 기계학습 (Machine Learning)' 카테고리의 다른 글
| [머신러닝/ML] Softmax Classification / Multinomial Classification (0) | 2023.05.18 |
|---|---|
| [머신러닝/ML] Binary Classification / Logistic Regression (0) | 2023.05.18 |
| [머신러닝/ML]Linear Regression (선형회귀) (0) | 2023.05.15 |
| [머신러닝/ML]Tensor Flow의 설치 및 기본적인 Operation (0) | 2023.05.12 |
| [머신러닝/ML]기본적인 ML 용어 및 개념 (0) | 2023.05.12 |